import daft
import matplotlib.pyplot as plt
import warnings
import logging
# Suppress font warnings
warnings.filterwarnings("ignore", category=UserWarning, module="matplotlib.font_manager")
# Also lower logging level for matplotlib font manager
logging.getLogger('matplotlib.font_manager').setLevel(logging.ERROR)
pgm = daft.PGM([6.5, 4.5], node_unit=1.2)
# Hyperparameters
pgm.add_node(daft.Node("alpha", r"$\alpha$", 2, 4));
pgm.add_node(daft.Node("beta", r"$\beta$", 4, 4));
pgm.add_node(daft.Node("lambda_1", r"$\lambda_1$", 1, 3));
pgm.add_node(daft.Node("lambda_2", r"$\lambda_2$", 2, 3));
pgm.add_node(daft.Node("lambda_3", r"$\lambda_3$", 3, 3));
pgm.add_node(daft.Node("lambda_4", r"$\lambda_4$", 4, 3));
pgm.add_node(daft.Node("lambda_5", r"$\lambda_5$", 5, 3));
# Observed data y_i, grouped under lambda_l
pgm.add_node(daft.Node("y_1", r"$y_i$", 1, 2, observed=True));
pgm.add_node(daft.Node("y_2", r"$y_i$", 2, 2, observed=True));
pgm.add_node(daft.Node("y_3", r"$y_i$", 3, 2, observed=True));
pgm.add_node(daft.Node("y_4", r"$y_i$", 4, 2, observed=True));
pgm.add_node(daft.Node("y_5", r"$y_i$", 5, 2, observed=True));
# Edges
pgm.add_edge("alpha", "lambda_1");
pgm.add_edge("alpha", "lambda_2");
pgm.add_edge("alpha", "lambda_3");
pgm.add_edge("alpha", "lambda_4");
pgm.add_edge("alpha", "lambda_5");
pgm.add_edge("beta", "lambda_1");
pgm.add_edge("beta", "lambda_2");
pgm.add_edge("beta", "lambda_3");
pgm.add_edge("beta", "lambda_4");
pgm.add_edge("beta", "lambda_5");
pgm.add_edge("lambda_1", "y_1");
pgm.add_edge("lambda_2", "y_2");
pgm.add_edge("lambda_3", "y_3");
pgm.add_edge("lambda_4", "y_4");
pgm.add_edge("lambda_5", "y_5");
# Plates
pgm.add_plate(daft.Plate([0.6, 1.5, 0.8, 1], label=r"$i=l_i=1$", shift=-0.1));
pgm.add_plate(daft.Plate([1.6, 1.5, 0.8, 1], label=r"$i=l_i=2$", shift=-0.1));
pgm.add_plate(daft.Plate([2.6, 1.5, 0.8, 1], label=r"$i=l_i=3$", shift=-0.1));
pgm.add_plate(daft.Plate([3.6, 1.5, 0.8, 1], label=r"$i=l_i=4$", shift=-0.1));
pgm.add_plate(daft.Plate([4.6, 1.5, 0.8, 1], label=r"$i=l_i=5$", shift=-0.1));
pgm.render()
plt.show()50.1 Introduction to Hierarchical Modeling
While the section shows the presence of correlation within groups, I wonder if we really need the iid assumptions below, particularly as we are told in (McElreath 2015) that hierarchical models can handle correlated data.
Throughout the last few lessons, we have assumed that all the observations were independent. But more often than not, this is too strong an assumption to make about our data. There is often a natural grouping to our data points, which leads us to believe that some observation pairs should be more similar to each other than to others.
Let’s look at an example. In the previous course, we talked about using a Poisson model to count chocolate chips in cookies.
Let’s suppose that you own a company that produces chocolate chip cookies. In an experiment, you’re going to produce 150 test cookies. Let’s say you’ll do 30 from your location and then 30 from four other factory locations. So let’s write this as 30 from each of 5 locations. We’re going to assume that all the locations use the same recipe when they make their chocolate chip cookies.
I’d say probably.
There’s a natural grouping to the cookies. By making it a hierarchical model, we can account for the likely differences between locations in our Poisson model.
The original fully independent model for model for Poisson, the number of chips in the cookies would have looked like this.
N=150 \quad \text{number of cookies}
B=30 \quad \text{from each locations}
50.1.1 Fully independent model
Fitting a single model to all data: This approach treats all observations as independent, ignoring any potential differences or relationships between groups. In the cookie example, fitting a single Poisson model to all 150 cookies would “be ignoring potential differences between locations and the fact that cookies from the same location are likely to be more similar to each other.”
This kind of model is called fully independent model or an completely pooled model as we consider all the cookies belonging to a single group
y_i \mid \lambda \stackrel{iid}{\sim} \mathrm{Pois}(\lambda) \qquad i=1, \ldots, N \qquad \tag{50.1}
Where \lambda is the expected number of chips per cookie.
At the other extreme we can think of fitting a model for each group separately. This kind of model is called a unpooled model.
50.1.2 Location-dependent model
Hierarchical models offer a powerful solution, acting as a “good compromise” between the two extreme approaches described above. They allow for the acknowledgment of natural groupings in data while still leveraging information across those groups. This is also called a partially pooled model, as it allows for some sharing of information between groups while still allowing for group-specific parameters.
In (Gelman et al. 2013, secs. 4.5,5.5,7.3) the authors describe the trade-offs between these types of options and how hierarchical models provide a good compromise. Hierarchical models, can incorporate a sufficient number of parameters to fit data well, while simultaneously using a population distribution to introduce dependence among parameters, thereby avoiding overfitting. This approach allows the parameters of a prior, or population, distribution to be estimated from the data itself
Also In (McElreath 2015), the author describes how shrinkage estimators can be used in hierarchical models to improve parameter estimates. But to keep things simple, we can say that shrinkage is how parameters for groups with less data are “pulled” towards the overall mean, while groups with more data are less affected by this pull.
\begin{aligned} y_i \mid l_i, \lambda_{l_i} & \stackrel{iid}{\sim} \mathrm{Pois}(\lambda_{l_i}) & i=1, \ldots, N \\ \lambda_{l_i} |\alpha, \beta & \sim \mathrm{Gamma}(\alpha, \beta) & l_i = 1, \ldots, B \\ \alpha &\sim \mathrm{Prior}(\alpha) & \text {(hyperparameters)} \\ \beta &\sim \mathrm{Prior}(\beta) & \text {(hyperparameters)} \end{aligned} \tag{50.2}
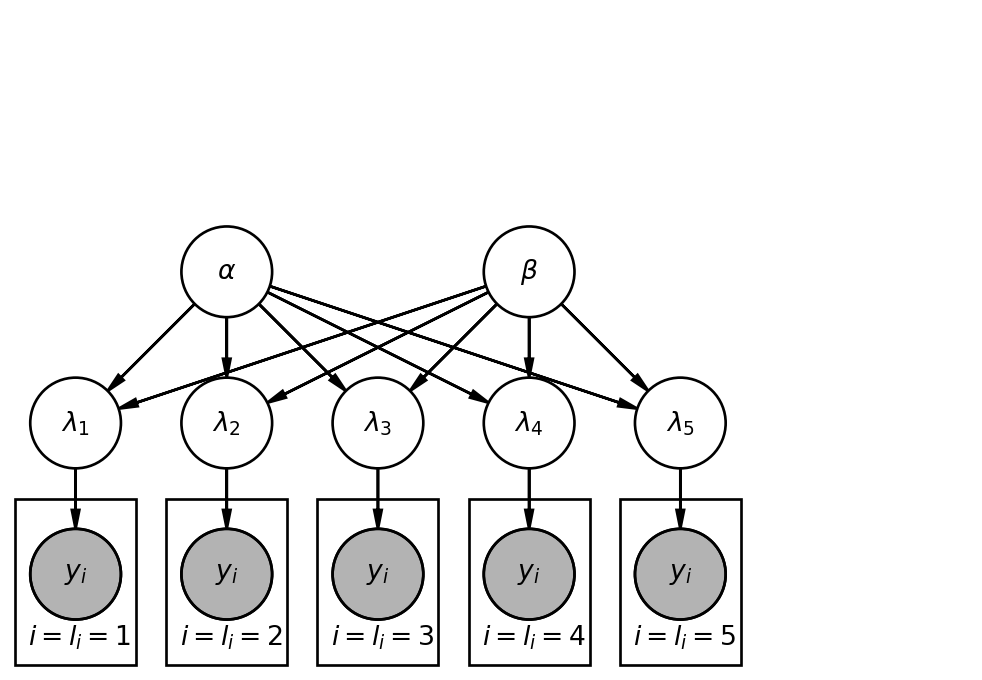
50.1.3 Graphical Model
The structure of a hierarchical model can be visualized as follows:
- Top Level (Hyperparameters): Independent parameters like \alpha and \beta.
- Second Level (Group Parameters): Parameters for each group (e.g., \lambda_1, \lambda_2, \dots, \lambda_5) that are dependent on the hyperparameters.
- Lowest Level (Observations): Individual observations (e.g., cookies) are grouped by their respective locations, and their distributions depend on the specific group parameter.
This multi-level structure allows for the estimation of the hyperparameters from the group-specific parameters.
A primary advantage of hierarchical models is their ability to share information, or borrow strength, from all the data.
- Indirect Information Sharing: Even though groups might have their own specific parameters (e.g., your location’s \lambda_1), the common distribution from which these parameters are drawn means that “information about another location’s cookies might provide information about your cookies, at least indirectly.”
- Improved Parameter Estimation: This shared information leads to more robust and accurate parameter estimates. In the cookie example, “your lambda is not only estimated directly from your 30 cookies, but also indirectly from the other 120 cookies leveraging this hierarchical structure.”
The overarching benefit of hierarchical models is their capacity for “Being able to account for relationships in the data while estimating everything with the single model is a primary advantage of using hierarchical models.” This provides a flexible and powerful framework for analyzing data with inherent group structures, leading to more realistic and informative inferences.
50.2 Correlations within the Normal hierarchical model 🗒️
This section is based on the handout titled Correlation from hierarchical models which deep dives into aspects of correlated quantities within hierarchical models by considering the special case of a Normal model.
50.2.2 Normal hierarchical model
Suppose our data come from a normal distribution, where each group has its own mean.
In the second stage, we assume that all the group means come from a common normal distribution.
Let’s write this hierarchical model. We y_{i,j} denote the i th observation in group j, with mean \theta_j. Thus we get: \begin{aligned} y_{i,j} \mid \theta_j &\stackrel{iid}{\sim} \mathcal{N}(\theta_j, \sigma^2) \\ \theta_j &\stackrel{iid}{\sim} \mathcal{N}(\mu, \tau^2) \end{aligned}
where \sigma^2, \tau^2, and \mu are known constants. To get the marginal distribution of y_{i,j} only, we must compute:
\begin{aligned} \mathbb{P}r(y_{i,j}) &= \int \mathbb{P}r(y_{i,j}, \theta_j) d\theta_j \\ &= \int \mathbb{P}r(y_{i,j} \mid \theta_j) \mathbb{P}r(\theta_j) d\theta_j \end{aligned}
With normally distributed variables, it is often easier to work with the following equivalent formulation of the model
\begin{aligned} \theta_j &= \mu + \nu_j, & \nu_j &\stackrel{iid}{\sim} \mathcal{N}(0, \tau^2) \\ y_{i,j} &= \theta_j + \varepsilon_{i,j}, & \varepsilon_{i,j} &\stackrel{iid}{\sim} \mathcal{N}(0, \sigma^2) \end{aligned}
with all \nu_j and \varepsilon_{i,j} independent. This allows us to substitute \theta_j into the expression for y_{i,j} to get y_{i,j} = \mu + \nu_j + \varepsilon_{i,j}.
One nice property of normal random variables is that if X and Y are both normally distributed (correlated or uncorrelated), then the new variable X + Y will also be normally distributed. Hence \mathbb{P}r(y_{i,j}) is a normal distribution with mean
\begin{aligned} \mathbb{E}(y_{i,j}) &= \mathbb{E}(\mu + \nu_j + \varepsilon_{i,j}) \\ &= E(\mu) + E(\nu_j) + E(\varepsilon_{i,j}) \\ &= \mu + 0 + 0 \\ &= \mu \end{aligned}
and variance
\begin{aligned} \mathbb{V}ar(y_{i,j}) =& \mathbb{V}ar(\mu + \nu_j + \varepsilon_{i,j} ) \\ =& \mathbb{C}ov(\mu + \nu_j + \varepsilon_{i,j} , \mu + \nu_j + \varepsilon_{i,j} ) \\ =& \mathbb{C}ov(\mu,\mu) + \mathbb{C}ov(\nu_j ,\nu_j ) + \mathbb{C}ov(\varepsilon_{i,j} ,\varepsilon_{i,j} ) \\ & + 2 \cdot \mathbb{C}ov(\mu,\nu_j ) + 2 \cdot \mathbb{C}ov(\mu,\varepsilon_{i,j} ) \\ & + 2 \cdot \mathbb{C}ov(\nu_j ,\varepsilon_{i,j} ) \\ =& 0 + \mathbb{V}ar(\nu_j ) + \mathbb{V}ar(\varepsilon_{i,j} ) + 0 + 0 + 0 &&& \text{(since } \nu_j \text{ and } \varepsilon_{i,j} \text{ are independent)} \\ =& \tau^2 + \sigma^2 . \end{aligned}
Now, we want to show that observations in the same group are correlated under this hierarchical model.
Let’s take, for example, observations 1 and 2 from group j, y_{1,j} and y_{2,j}. It does not matter which two you select, as long as they are from the same group. We know that \mathbb{V}ar(y_{1,j}) = \mathbb{V}ar(y_{2,j}) = \tau^2 + \sigma^2. What about their covariance?
\begin{aligned} \mathbb{C}ov(y_{1,j},y_{2,j}) &= \mathbb{C}ov(\mu + \nu_j + \varepsilon_{2,j}, \mu + \nu_j + \varepsilon_{2,j}) \\ &= \mathbb{C}ov(\mu,\mu) + \mathbb{C}ov(\nu_j,\nu_j) + \mathbb{C}ov(\varepsilon_{1,j},\varepsilon_{2,j}) + 2 \cdot \mathbb{C}ov(\mu,\nu_j) + \mathbb{C}ov(\mu,\varepsilon_{1,j}) + \mathbb{C}ov(\mu,\varepsilon_{2,j}) + \mathbb{C}ov(\nu_j,\varepsilon_{1,j}) + \mathbb{C}ov(\nu_j,\varepsilon_{2,j}) \\ &= 0 + \mathbb{V}ar(\nu_j) + 0 + 2 \cdot 0 + 0 + 0 + 0 + 0 \qquad \text{(as } \varepsilon_{1,j} \text{ and } \varepsilon_{2,j} \text{ are independent)} &= \tau^2 \end{aligned}
which gives us correlation:
\begin{aligned} \mathbb{C}or(y_{1,j},y_{2,j}) &= \mathbb{C}ov(y_{1,j},y_{2,j})/\sqrt{\mathbb{V}ar(y_{1,j}) \cdot \mathbb{V}ar(y_{2,j})} \\ &= \tau^2/\sqrt{(\tau^2 + \sigma^2) \cdot (\tau^2 + \sigma^2)} \\ &= \tau^2/\sqrt{(\tau^2 + \sigma^2) \cdot (\tau^2 + \sigma^2)} \\ &= \tau^2/\sqrt{(\tau^2 + \sigma^2)^2} \\ &= \frac{\tau^2}{\tau^2 + \sigma^2}. \end{aligned}
Finally, let’s check the covariance between observations in different groups. Let’s take observation i from groups 1 and 2 (again, our choices do not matter), y_{i,1} and y_{i,2}. Their covariance is
\begin{aligned} \mathbb{C}ov(y_{i,1},y_{i,2}) &= \mathbb{C}ov(\mu + \nu_1 + \varepsilon_{i,1}, \mu + \nu_2 + \varepsilon_{i,2}) \\ &= \mathbb{C}ov(\mu,\mu) + \mathbb{C}ov(\nu_1,\nu_2) + \mathbb{C}ov(\varepsilon_{i,1},\varepsilon_{i,2}) \\ &\quad + \mathbb{C}ov(\mu,\nu_1) + \mathbb{C}ov(\mu,\nu_2) + \mathbb{C}ov(\mu,\varepsilon_{i,1}) + \mathbb{C}ov(\mu,\varepsilon_{i,2}) \\ &\quad + \mathbb{C}ov(\nu_1,\varepsilon_{i,1}) + \mathbb{C}ov(\nu_2,\varepsilon_{i,2}) \\ &= 0 + 0 + 0 + 0 + 0 + 0 + 0 + 0 + 0 \qquad \text{(as all } \varepsilon \text{ and } \nu \text{ are independent)} \\ &= 0, \end{aligned}
which obviously yields correlation 0.
Thus, we have demonstrated that observations from the same group are correlated while observations from different groups are uncorrelated in the marginal distribution for observations.
50.3 Applications of hierarchical modeling
Handout: Common applications of Bayesian hierarchical models
50.4 Prior predictive simulation
50.4.1 Data
Let’s fit our hierarchical model for counts of chocolate chips. The data can be found in cookies.dat.
dat = read.table(file="data/cookies.dat", header=TRUE)
head(dat) chips location
1 12 1
2 12 1
3 6 1
4 13 1
5 12 1
6 12 1
table(dat$location)
1 2 3 4 5
30 30 30 30 30
We can also visualize the distribution of chips by location.
hist(dat$chips)boxplot(chips ~ location, data=dat)50.4.2 Prior predictive checks
Before implementing the model, we need to select prior distributions for \alpha and \beta, the hyperparameters governing the gamma distribution for the \lambda parameters. First, think about what the \lambda’s represent. For location j, \lambda_j is the expected number of chocolate chips per cookie. Hence, \alpha and \beta control the distribution of these means between locations. The mean of this gamma distribution will represent the overall mean of number of chips for all cookies. The variance of this gamma distribution controls the variability between locations. If this is high, the mean number of chips will vary widely from location to location. If it is small, the mean number of chips will be nearly the same from location to location.
To see the effects of different priors on the distribution of \lambda’s, we can simulate. Suppose we try independent exponential priors for \alpha and \beta.
set.seed(112)
n_sim = 500
alpha_pri = rexp(n_sim, rate=1.0/2.0)
beta_pri = rexp(n_sim, rate=5.0)
mu_pri = alpha_pri/beta_pri
sig_pri = sqrt(alpha_pri/beta_pri^2)
summary(mu_pri) Min. 1st Qu. Median Mean 3rd Qu. Max.
0.0213 2.9829 9.8522 61.1271 29.9801 4858.7861
summary(sig_pri) Min. 1st Qu. Median Mean 3rd Qu. Max.
0.1834 3.3663 8.5488 41.8137 22.2219 2865.6461
After simulating from the priors for \alpha and \beta, we can use those samples to simulate further down the hierarchy:
lam_pri = rgamma(n=n_sim, shape=alpha_pri, rate=beta_pri)
summary(lam_pri) Min. 1st Qu. Median Mean 3rd Qu. Max.
0.000 1.171 7.668 83.062 28.621 11005.331
Or for a prior predictive reconstruction of the original data set:
(lam_pri = rgamma(n=5, shape=alpha_pri[1:5], rate=beta_pri[1:5]))[1] 66.444084 9.946688 6.028319 15.922568 47.978587
(y_pri = rpois(n=150, lambda=rep(lam_pri, each=30))) [1] 63 58 64 63 70 62 61 48 71 73 70 77 66 60 72 77 69 62 66 71 49 80 66 75 74
[26] 55 62 90 65 57 12 9 7 10 12 10 11 7 14 13 9 6 6 13 7 10 12 9 9 10
[51] 7 8 6 9 7 10 13 13 8 12 6 10 3 6 7 4 6 7 5 5 4 3 6 2 8
[76] 4 8 4 5 7 1 4 5 3 8 8 3 1 7 3 16 14 13 17 17 12 13 13 16 16
[101] 15 14 11 10 13 17 16 19 16 17 15 16 7 17 21 16 12 15 14 13 52 44 51 46 39
[126] 40 40 44 46 59 45 49 58 42 31 52 43 47 53 41 48 57 35 60 51 58 36 34 41 59
Because these priors have high variance and are somewhat noninformative, they produce unrealistic predictive distributions. Still, enough data would overwhelm the prior, resulting in useful posterior distributions. Alternatively, we could tweak and simulate from these prior distributions until they adequately represent our prior beliefs. Yet another approach would be to re-parameterize the gamma prior, which we’ll demonstrate as we fit the model.
50.5 JAGS Model
library("rjags")Loading required package: coda
Linked to JAGS 4.3.2
Loaded modules: basemod,bugs
mod_string = " model {
for (i in 1:length(chips)) {
chips[i] ~ dpois(lam[location[i]])
}
for (j in 1:max(location)) {
lam[j] ~ dgamma(alpha, beta)
}
alpha = mu^2 / sig^2
beta = mu / sig^2
mu ~ dgamma(2.0, 1.0/5.0)
sig ~ dexp(1.0)
} "
set.seed(113)
data_jags = as.list(dat)
params = c("lam", "mu", "sig")
mod = jags.model(textConnection(mod_string), data=data_jags, n.chains=3)Compiling model graph
Resolving undeclared variables
Allocating nodes
Graph information:
Observed stochastic nodes: 150
Unobserved stochastic nodes: 7
Total graph size: 315
Initializing model
update(mod, 1e3)
mod_sim = coda.samples(model=mod,
variable.names=params,
n.iter=5e3)
mod_csim = as.mcmc(do.call(rbind, mod_sim))## convergence diagnostics
par(mar = c(2.5, 1, 2.5, 1))
plot(mod_sim)gelman.diag(mod_sim)Potential scale reduction factors:
Point est. Upper C.I.
lam[1] 1 1
lam[2] 1 1
lam[3] 1 1
lam[4] 1 1
lam[5] 1 1
mu 1 1
sig 1 1
Multivariate psrf
1
autocorr.diag(mod_sim) lam[1] lam[2] lam[3] lam[4] lam[5]
Lag 0 1.000000000 1.0000000000 1.0000000000 1.000000000 1.000000000
Lag 1 0.016259815 0.1166777097 -0.0003014243 0.010878808 0.057827986
Lag 5 0.001721205 -0.0019322426 -0.0001168151 0.023056897 -0.002159435
Lag 10 -0.003552185 0.0052670277 -0.0028800980 0.003830392 -0.002142178
Lag 50 0.005598163 0.0008730375 -0.0064174588 -0.002136098 0.007399294
mu sig
Lag 0 1.000000000 1.00000000
Lag 1 0.369771466 0.55137232
Lag 5 0.005208692 0.09920526
Lag 10 0.004495976 0.01210336
Lag 50 -0.012542851 -0.01202540
par(mar = c(2.5, 1, 2.5, 1))
autocorr.plot(mod_sim)effectiveSize(mod_sim) lam[1] lam[2] lam[3] lam[4] lam[5] mu sig
14755.867 10865.342 14943.567 14460.075 11543.612 6576.110 3719.139
## compute DIC
dic = dic.samples(mod, n.iter=1e3)50.5.1 Model checking
After assessing convergence, we can check the fit via residuals. With a hierarchical model, there are now two levels of residuals: the observation level and the location mean level. To simplify, we’ll look at the residuals associated with the posterior means of the parameters.
First, we have observation residuals, based on the estimates of location means.
## observation level residuals
(pm_params = colMeans(mod_csim)) lam[1] lam[2] lam[3] lam[4] lam[5] mu sig
9.284525 6.226176 9.521410 8.945045 11.756365 9.074564 2.070515
yhat = rep(pm_params[1:5], each=30)
resid = dat$chips - yhat
plot(resid)plot(jitter(yhat), resid)var(resid[yhat<7])[1] 6.447126
var(resid[yhat>11])[1] 13.72414
Also, we can look at how the location means differ from the overall mean \mu.
## location level residuals
lam_resid = pm_params[1:5] - pm_params["mu"]
plot(lam_resid)
abline(h=0, lty=2)We don’t see any obvious violations of our model assumptions.
50.5.2 Results
summary(mod_sim)
Iterations = 2001:7000
Thinning interval = 1
Number of chains = 3
Sample size per chain = 5000
1. Empirical mean and standard deviation for each variable,
plus standard error of the mean:
Mean SD Naive SE Time-series SE
lam[1] 9.285 0.5379 0.004392 0.004429
lam[2] 6.226 0.4607 0.003761 0.004426
lam[3] 9.521 0.5410 0.004417 0.004426
lam[4] 8.945 0.5218 0.004261 0.004342
lam[5] 11.756 0.6180 0.005046 0.005774
mu 9.075 0.9768 0.007976 0.012044
sig 2.071 0.6989 0.005707 0.011660
2. Quantiles for each variable:
2.5% 25% 50% 75% 97.5%
lam[1] 8.273 8.917 9.267 9.641 10.382
lam[2] 5.356 5.909 6.216 6.531 7.153
lam[3] 8.480 9.153 9.509 9.885 10.612
lam[4] 7.951 8.593 8.936 9.289 10.001
lam[5] 10.571 11.332 11.749 12.167 12.987
mu 7.214 8.461 9.055 9.663 11.092
sig 1.091 1.583 1.940 2.423 3.811
50.6 Posterior predictive simulation
Just as we did with the prior distribution, we can use these posterior samples to get Monte Carlo estimates that interest us from the posterior predictive distribution.
For example, we can use draws from the posterior distribution of \mu and \sigma to simulate the posterior predictive distribution of the mean for a new location.
(n_sim = nrow(mod_csim))[1] 15000
lam_pred = rgamma(n=n_sim, shape=mod_csim[,"mu"]^2/mod_csim[,"sig"]^2,
rate=mod_csim[,"mu"]/mod_csim[,"sig"]^2)
hist(lam_pred)mean(lam_pred > 15)[1] 0.0158
Using these \lambda draws, we can go to the observation level and simulate the number of chips per cookie, which takes into account the uncertainty in \lambda:
mean(y_pred > 15)[1] 0.05893333
hist(dat$chips)Finally, we could answer questions like: what is the posterior probability that the next cookie produced in Location 1 will have fewer than seven chips?
y_pred1 = rpois(n=n_sim, lambda=mod_csim[,"lam[1]"])
hist(y_pred1)mean(y_pred1 < 7)[1] 0.1899333
50.7 Random intercept linear model
We can extend the linear model for the Leinhardt data on infant mortality by incorporating the region variable. We’ll do this with a hierarchical model, where each region has its own intercept.
library("car")Loading required package: carData
data("Leinhardt")
?Leinhardt
str(Leinhardt)'data.frame': 105 obs. of 4 variables:
$ income: int 3426 3350 3346 4751 5029 3312 3403 5040 2009 2298 ...
$ infant: num 26.7 23.7 17 16.8 13.5 10.1 12.9 20.4 17.8 25.7 ...
$ region: Factor w/ 4 levels "Africa","Americas",..: 3 4 4 2 4 4 4 4 4 4 ...
$ oil : Factor w/ 2 levels "no","yes": 1 1 1 1 1 1 1 1 1 1 ...
head(Leinhardt) income infant region oil
Australia 3426 26.7 Asia no
Austria 3350 23.7 Europe no
Belgium 3346 17.0 Europe no
Canada 4751 16.8 Americas no
Denmark 5029 13.5 Europe no
Finland 3312 10.1 Europe no
Previously, we worked with infant mortality and income on the logarithmic scale. Recall also that we had to remove some missing data.
dat = na.omit(Leinhardt)
dat$logincome = log(dat$income)
dat$loginfant = log(dat$infant)
str(dat)'data.frame': 101 obs. of 6 variables:
$ income : int 3426 3350 3346 4751 5029 3312 3403 5040 2009 2298 ...
$ infant : num 26.7 23.7 17 16.8 13.5 10.1 12.9 20.4 17.8 25.7 ...
$ region : Factor w/ 4 levels "Africa","Americas",..: 3 4 4 2 4 4 4 4 4 4 ...
$ oil : Factor w/ 2 levels "no","yes": 1 1 1 1 1 1 1 1 1 1 ...
$ logincome: num 8.14 8.12 8.12 8.47 8.52 ...
$ loginfant: num 3.28 3.17 2.83 2.82 2.6 ...
- attr(*, "na.action")= 'omit' Named int [1:4] 24 83 86 91
..- attr(*, "names")= chr [1:4] "Iran" "Haiti" "Laos" "Nepal"
Now we can fit the proposed model:
library("rjags")mod_string = " model {
for (i in 1:length(y)) {
y[i] ~ dnorm(mu[i], prec)
mu[i] = a[region[i]] + b[1]*log_income[i] + b[2]*is_oil[i]
}
for (j in 1:max(region)) {
a[j] ~ dnorm(a0, prec_a)
}
a0 ~ dnorm(0.0, 1.0/1.0e6)
prec_a ~ dgamma(1/2.0, 1*10.0/2.0)
tau = sqrt( 1.0 / prec_a )
for (j in 1:2) {
b[j] ~ dnorm(0.0, 1.0/1.0e6)
}
prec ~ dgamma(5/2.0, 5*10.0/2.0)
sig = sqrt( 1.0 / prec )
} "set.seed(116)
data_jags = list(y=dat$loginfant, log_income=dat$logincome,
is_oil=as.numeric(dat$oil=="yes"), region=as.numeric(dat$region))
data_jags$is_oil [1] 0 0 0 0 0 0 0 0 0 0 0 0 0 0 0 0 0 0 0 0 1 1 1 1 1 1 1 1 0 0 0 0 0 0 0 0 0
[38] 0 0 0 0 0 0 0 0 0 0 0 0 0 0 0 0 0 0 0 0 0 0 0 0 0 0 0 0 0 0 0 0 0 0 0 0 0
[75] 0 0 0 0 0 0 0 0 0 0 0 0 0 0 0 0 0 0 0 0 0 0 0 0 0 0 0
table(data_jags$is_oil, data_jags$region)
1 2 3 4
0 31 20 24 18
1 3 2 3 0
params = c("a0", "a", "b", "sig", "tau")
mod = jags.model(textConnection(mod_string), data=data_jags, n.chains=3)Compiling model graph
Resolving undeclared variables
Allocating nodes
Graph information:
Observed stochastic nodes: 101
Unobserved stochastic nodes: 9
Total graph size: 622
Initializing model
update(mod, 1e3) # burn-in
mod_sim = coda.samples(model=mod,
variable.names=params,
n.iter=5e3)
mod_csim = as.mcmc(do.call(rbind, mod_sim)) # combine multiple chains
## convergence diagnostics
par(mar = c(2.5, 1, 2.5, 1))
plot(mod_sim)gelman.diag(mod_sim)Potential scale reduction factors:
Point est. Upper C.I.
a[1] 1.02 1.07
a[2] 1.02 1.07
a[3] 1.02 1.07
a[4] 1.03 1.08
a0 1.01 1.02
b[1] 1.03 1.08
b[2] 1.00 1.01
sig 1.00 1.00
tau 1.00 1.00
Multivariate psrf
1.02
autocorr.diag(mod_sim) a[1] a[2] a[3] a[4] a0 b[1] b[2]
Lag 0 1.0000000 1.0000000 1.0000000 1.0000000 1.00000000 1.0000000 1.00000000
Lag 1 0.9145674 0.9175355 0.9145289 0.9319294 0.24281778 0.9787379 0.13751318
Lag 5 0.8418658 0.8468229 0.8395152 0.8583489 0.21901140 0.9011166 0.03912406
Lag 10 0.7573838 0.7619622 0.7570419 0.7711406 0.19817941 0.8107307 0.02428438
Lag 50 0.3589187 0.3580264 0.3510707 0.3615987 0.09797626 0.3803018 0.01984303
sig tau
Lag 0 1.000000000 1.000000000
Lag 1 0.069276223 0.261058219
Lag 5 0.009446044 -0.013578937
Lag 10 -0.006946785 0.004863777
Lag 50 -0.001769195 -0.001763445
autocorr.plot(mod_sim)effectiveSize(mod_sim) a[1] a[2] a[3] a[4] a0 b[1] b[2]
160.7025 172.7328 174.9133 169.1790 646.4207 157.5118 7520.4035
sig tau
12644.4263 9339.4378
50.7.1 Results
Convergence looks okay, so let’s compare this with the old model from Lesson 7 using DIC:
dic.samples(mod, n.iter=1e3)Mean deviance: 213.5
penalty 6.829
Penalized deviance: 220.3
### nonhierarchical model: 230.1It appears that this model is an improvement over the non-hierarchical one we fit earlier. Notice that the penalty term, which can be interpreted as the “effective” number of parameters, is less than the actual number of parameters (nine). There are fewer “effective” parameters because they are “sharing” information or “borrowing strength” from each other in the hierarchical structure. If we had skipped the hierarchy and fit one intercept, there would have been four parameters. If we had fit separate, independent intercepts for each region, there would have been seven parameters (which is close to what we ended up with).
Finally, let’s look at the posterior summary.
summary(mod_sim)
Iterations = 1001:6000
Thinning interval = 1
Number of chains = 3
Sample size per chain = 5000
1. Empirical mean and standard deviation for each variable,
plus standard error of the mean:
Mean SD Naive SE Time-series SE
a[1] 6.5805 0.53787 0.0043917 0.0424816
a[2] 6.0400 0.67793 0.0055353 0.0518342
a[3] 5.8768 0.60057 0.0049036 0.0455594
a[4] 5.5741 0.83043 0.0067804 0.0640604
a0 6.0258 1.28676 0.0105063 0.0512319
b[1] -0.3460 0.10206 0.0008333 0.0081575
b[2] 0.6424 0.35263 0.0028792 0.0041826
sig 0.9178 0.06567 0.0005362 0.0005842
tau 2.0333 1.03929 0.0084858 0.0108133
2. Quantiles for each variable:
2.5% 25% 50% 75% 97.5%
a[1] 5.5467 6.2114 6.5641 6.9392 7.6592
a[2] 4.7205 5.5732 6.0136 6.4977 7.4104
a[3] 4.7275 5.4615 5.8577 6.2789 7.0998
a[4] 3.9829 5.0023 5.5490 6.1383 7.2560
a0 3.5131 5.2472 6.0302 6.7828 8.5724
b[1] -0.5540 -0.4148 -0.3420 -0.2744 -0.1496
b[2] -0.0456 0.4077 0.6406 0.8761 1.3519
sig 0.8016 0.8714 0.9145 0.9593 1.0562
tau 0.9704 1.4082 1.7828 2.3488 4.5522
In this particular model, the intercepts do not have a real interpretation because they correspond to the mean response for a country that does not produce oil and has USD0 log-income per capita (which is USD1 income per capita). We can interpret a_0 as the overall mean intercept and \tau as the standard deviation of intercepts across regions.
50.7.2 Other models
We have not investigated adding interaction terms, which might be appropriate. We only considered adding hierarchy on the intercepts, but in reality nothing prevents us from doing the same for other terms in the model, such as the coefficients for income and oil. We could try any or all of these alternatives and see how the DIC changes for those models. This, together with other model checking techniques we have discussed could be used to identify your best model that you can use to make inferences and predictions.
50.8 Mixture models
Histograms of data often reveal that they do not follow any standard probability distribution. Sometimes we have explanatory variables (or covariates) to account for the different values, and normally distributed errors are adequate, as in normal regression. However, if we only have the data values themselves and no covariates, we might have to fit a non-standard distribution to the data. One way to do this is by mixing standard distributions.
Mixture distributions are just a weighted combination of probability distributions. For example, we could take an exponential distribution with mean 1 and normal distribution with mean 3 and variance 1 (although typically the two mixture components would have the same support; here the exponential component has to be non-negative and the normal component can be positive or negative). Suppose we give them weights: 0.4 for the exponential distribution and 0.6 for the normal distribution. We could write the PDF for this distribution as
\mathbb{P}r(y) = 0.4 \cdot \exp(-y) \cdot \mathbb{I}_{(y \ge 0)} + 0.6 \cdot \frac{1}{\sqrt{2 \pi}} \exp\left(- \frac{1}{2} (y - 3)^2\right) \tag{50.3}
where \mathbb{I}_{(y \ge 0)} is the indicator function that is 1 if y \ge 0 and 0 otherwise. This PDF is a mixture of the exponential and normal distributions, with the weights indicating the relative contribution of each distribution to the overall PDF.
The PDF of this mixture distribution would look like this:
curve( 0.4*dexp(x, 1.0) + 0.6*dnorm(x, 3.0, 1.0), from=-2.0, to=7.0, ylab="density", xlab="y", main="40/60 mixture of exponential and normal distributions", lwd=2)We could think of these two distributions as governing two distinct populations, one following the exponential distribution and the other following the normal distribution.
Let’s draw the weighted PDFs for each population.
curve( 0.4*dexp(x, 1.0) + 0.6*dnorm(x, 3.0, 1.0), from=-2.0, to=7.0, ylab="density", xlab="y", main="40/60 mixture of exponential and normal distributions", lwd=2)
curve( 0.4*dexp(x, 1.0), from=-2.0, to=7.0, col="red", lty=2, add=TRUE)
curve( 0.6*dnorm(x, 3.0, 1.0), from=-2.0, to=7.0, col="blue", lty=2, add=TRUE)The general form for a discrete mixture of distributions is as follows:
\mathbb{P}r(y) = \sum_{j=1}^J \omega_j \cdot f_j (y) \tag{50.4}
where the \omega’s are positive weights that add up to 1 (they are probabilities) and each of the J f_j(y) functions is a PDF for some distribution. In the example above, the weights were 0.4 and 0.6, f_1 was an exponential PDF and f_2 was a normal PDF.
One way to simulate from a mixture distribution is with a hierarchical model. We first simulate an indicator for which “population” the next observation will come from using the weights \omega. Let’s call this z_i. In the example above, z_i would take the value 1 (indicating the exponential distribution) with probability 0.4 and 2 (indicating the normal distribution) with probability 0.6. Next, simulate the observation y_i from the distribution corresponding to z_i.
Let’s simulate from our example mixture distribution.
set.seed(117)
n = 1000
z = numeric(n)
y = numeric(n)
for (i in 1:n) {
z[i] = sample.int(2, 1, prob=c(0.4, 0.6)) # returns a 1 with probability 0.4, or a 2 with probability 0.6
if (z[i] == 1) {
y[i] = rexp(1, rate=1.0)
} else if (z[i] == 2) {
y[i] = rnorm(1, mean=3.0, sd=1.0)
}
}
hist(y, breaks=30)If we keep only the y values and throw away the z values, we have a sample from the mixture model above. To see that they are equivalent, we can marginalize the joint distribution of y and z:
\begin{aligned} \mathbb{P}r(y) &= \sum_{j=1}^2 \mathbb{P}r(y, z=j) \\ &= \sum_{j=1}^2 \mathbb{P}r(z=j) \cdot \mathbb{P}r(y \mid z=j) \\ &= \sum_{j=1}^2 \omega_j \cdot f_j(y) \end{aligned} \tag{50.5}
50.8.1 Bayesian inference for mixture models
When we fit a mixture model to data, we usually only have the y values and do not know which “population” they belong to. Because the z variables are unobserved, they are called latent variables. We can treat them as parameters in a hierarchical model and perform Bayesian inference for them. The hierarchial model might look like this:
\begin{aligned} y_i \mid z_i, \theta & \overset{\text{ind}}{\sim} f_{z_i}(y \mid \theta) \, , \quad i = 1, \ldots, n \\ \text{Pr}(z_i = j \mid \omega) &= \omega_j \, , \quad j=1, \ldots, J \\ \omega &\sim \mathbb{P}r(\omega) \\ \theta &\sim \mathbb{P}r(\theta) \end{aligned} \tag{50.6}
where we might use a Dirichlet prior (see the review of distributions in the supplementary material) for the weight vector \omega and conjugate priors for the population-specific parameters in \theta. With this model, we could obtain posterior distributions for z (population membership of the observations), \omega (population weights), and \theta (population-specific parameters in f_j). Next, we will look at how to fit a mixture of two normal distributions in JAGS.
50.9 Example with JAGS
50.9.1 Data
For this example, we will use the data in the attached file mixture.csv.
dat = read.csv("data/mixture.csv", header=FALSE)
y = dat$V1
(n = length(y))[1] 200
Let’s visualize these data.
It appears that we have two populations, but we do not know which population each observation belongs to. We can learn this, along with the mixture weights and population-specific parameters with a Bayesian hierarchical model.
We will use a mixture of two normal distributions with variance 1 and different (and unknown) means.
50.9.2 Model
library("rjags")mod_string = " model {
for (i in 1:length(y)) {
y[i] ~ dnorm(mu[z[i]], prec)
z[i] ~ dcat(omega)
}
mu[1] ~ dnorm(-1.0, 1.0/100.0)
mu[2] ~ dnorm(1.0, 1.0/100.0) T(mu[1],) # ensures mu[1] < mu[2]
prec ~ dgamma(1.0/2.0, 1.0*1.0/2.0)
sig = sqrt(1.0/prec)
omega ~ ddirich(c(1.0, 1.0))
} "
set.seed(11)
data_jags = list(y=y)
params = c("mu", "sig", "omega", "z[1]", "z[31]", "z[49]", "z[6]") # Select some z's to monitor
mod = jags.model(textConnection(mod_string), data=data_jags, n.chains=3)Compiling model graph
Resolving undeclared variables
Allocating nodes
Graph information:
Observed stochastic nodes: 200
Unobserved stochastic nodes: 204
Total graph size: 614
Initializing model
update(mod, 1e3)
mod_sim = coda.samples(model=mod,
variable.names=params,
n.iter=5e3)
mod_csim = as.mcmc(do.call(rbind, mod_sim))## convergence diagnostics
par(mar = c(2.5, 1, 2.5, 1))
plot(mod_sim, ask=TRUE)autocorr.diag(mod_sim) mu[1] mu[2] omega[1] omega[2] sig
Lag 0 1.000000000 1.000000000 1.000000000 1.000000000 1.000000000
Lag 1 0.553812181 0.325481442 0.279063114 0.279063114 0.427477136
Lag 5 0.097472038 0.048740887 0.044570442 0.044570442 0.034744104
Lag 10 0.006007842 -0.009348578 0.001502159 0.001502159 0.004285331
Lag 50 -0.001744877 -0.003077040 0.004582553 0.004582553 0.004414424
z[1] z[31] z[49] z[6]
Lag 0 1.000000000 1.0000000000 1.000000e+00 NaN
Lag 1 0.031327906 0.0399040239 3.394082e-02 NaN
Lag 5 0.008900998 0.0005769171 5.384155e-03 NaN
Lag 10 -0.005157319 0.0044891227 -3.951395e-03 NaN
Lag 50 -0.005040368 0.0116048826 -2.590186e-05 NaN
effectiveSize(mod_sim) mu[1] mu[2] omega[1] omega[2] sig z[1] z[31] z[49]
3491.521 6382.844 6126.487 6126.487 5067.215 13451.397 13240.480 13104.365
z[6]
0.000
50.9.3 Results
summary(mod_sim)
Iterations = 2001:7000
Thinning interval = 1
Number of chains = 3
Sample size per chain = 5000
1. Empirical mean and standard deviation for each variable,
plus standard error of the mean:
Mean SD Naive SE Time-series SE
mu[1] -2.1186 0.16598 0.0013552 0.0028101
mu[2] 1.4901 0.12534 0.0010234 0.0015705
omega[1] 0.3876 0.04045 0.0003303 0.0005183
omega[2] 0.6124 0.04045 0.0003303 0.0005183
sig 1.1364 0.07467 0.0006097 0.0010525
z[1] 1.0105 0.10209 0.0008336 0.0008900
z[31] 1.5770 0.49405 0.0040339 0.0042947
z[49] 1.7984 0.40121 0.0032759 0.0035118
z[6] 2.0000 0.00000 0.0000000 0.0000000
2. Quantiles for each variable:
2.5% 25% 50% 75% 97.5%
mu[1] -2.4428 -2.2287 -2.1215 -2.0098 -1.7848
mu[2] 1.2438 1.4062 1.4910 1.5745 1.7320
omega[1] 0.3100 0.3600 0.3871 0.4148 0.4688
omega[2] 0.5312 0.5852 0.6129 0.6400 0.6900
sig 1.0064 1.0833 1.1308 1.1823 1.2980
z[1] 1.0000 1.0000 1.0000 1.0000 1.0000
z[31] 1.0000 1.0000 2.0000 2.0000 2.0000
z[49] 1.0000 2.0000 2.0000 2.0000 2.0000
z[6] 2.0000 2.0000 2.0000 2.0000 2.0000
## for the population parameters and the mixing weights
par(mar = c(2.5, 1, 2.5, 1))
par(mfrow=c(3,2))
densplot(mod_csim[,c("mu[1]", "mu[2]", "omega[1]", "omega[2]", "sig")])## for the z's
par(mfrow=c(2,2))
par(mar = c(2.5, 1, 2.5, 1))
densplot(mod_csim[,c("z[1]", "z[31]", "z[49]", "z[6]")])table(mod_csim[,"z[1]"]) / nrow(mod_csim) ## posterior probabilities for z[1], the membership of y[1]
1 2
0.98946667 0.01053333
table(mod_csim[,"z[31]"]) / nrow(mod_csim) ## posterior probabilities for z[31], the membership of y[31]
1 2
0.423 0.577
table(mod_csim[,"z[49]"]) / nrow(mod_csim) ## posterior probabilities for z[49], the membership of y[49]
1 2
0.2016 0.7984
table(mod_csim[,"z[6]"]) / nrow(mod_csim) ## posterior probabilities for z[6], the membership of y[6]
2
1
y[c(1, 31, 49, 6)][1] -2.2661749 -0.3702666 0.0365564 3.7548080
If we look back to the y values associated with these z variables we monitored, we see that y_1 is clearly in Population 1’s territory, y_{31} is ambiguous, y_{49} is ambiguous but is closer to Population 2’s territory, and y_6 is clearly in Population 2’s territory. The posterior distributions for the z variables closely reflect our assessment.
































